2025-2026学年度学生走读名单公示(第二批)
时间:2025-09-25 16:04来源:未知 作者:admin 点击:
次
|
各二级学院(校区):
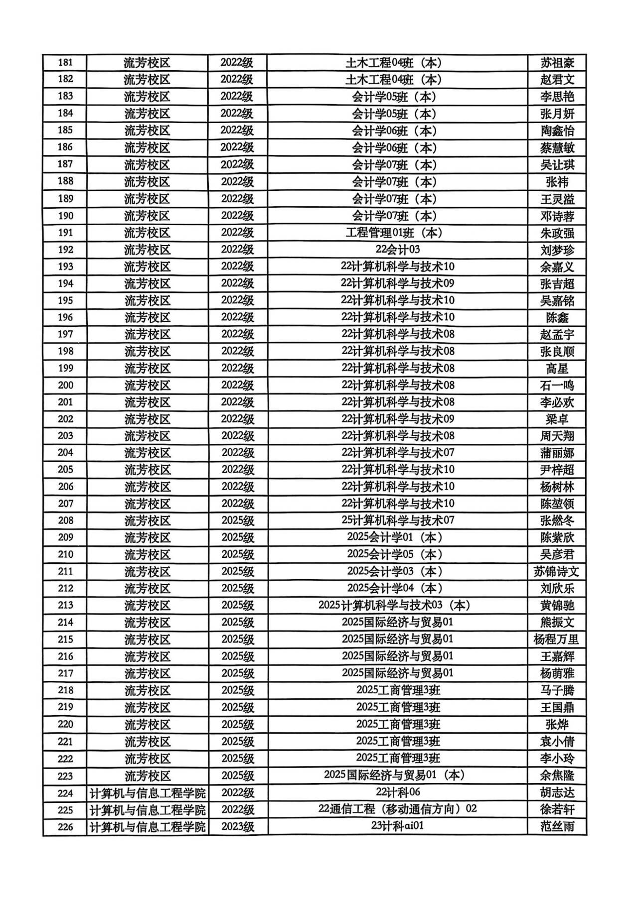
按照《关于办理2025-2026学年度走读手续的通知》要求,经学生个人申请、二级学院、校区审核、学生工作部复核,拟确定以下256名同学为 2025-2026学年度第二批走读生,现将具体名单进行公示:
     
公示期:2025 年9月25日-27日。如有异议请在公示期内与学生工作部联系。
联系人:王老师
联系电话:027-87193332。
学生工作部
2025年9月25日
(责任编辑:admin) |
------分隔线----------------------------